6 min read
From Digital Key Localization to Software-Defined Automotive Radar Sensing – A White Paper
Executive Summary
This white paper presents a practical and cost-effective approach to in-cabin vital signs monitoring using ultra-wideband (UWB) radar. By repurposing the same production-grade UWB hardware already deployed for secure digital key and passive entry (compliant with CCC Digital Key Release 4.0), the proposed framework transforms existing antennas and RF chains into a software-defined radar sensor, eliminating the need for additional dedicated hardware. This reuse strategy delivers significant advantages: zero incremental BOM cost, reduced power consumption, lower system integration complexity, and always-on capability even in low-power parked modes.
The solution achieves reliable detection of respiration and cardiac micro-motions under real automotive conditions (engine vibrations, multipath clutter, non-Gaussian noise) and fully meets Euro NCAP Child Presence Detection (CPD) requirements, including accurate breathing monitoring for newborns (18–30 BPM range). Validated on Ceva-Waves UWB platform, the framework demonstrates robust performance with high sensitivity to sub-millimeter chest movements while preserving occupant privacy and operating independently of lighting conditions. This convergence of connectivity and sensing offers automotive OEMs and Tier-1 suppliers a scalable, future-proof path to advanced in-cabin safety and health features without added sensors or infrastructure overhead.
Abstract
Ultra-wideband (UWB) technology is widely deployed in modern vehicles to enable secure localization-based use cases such as digital key and secure passive entry compliant with CCC Digital Key Release 4.0. This paper demonstrates how the same production-grade UWB hardware can be repurposed as a software-defined radar sensor for in-cabin vital signs monitoring. A complete UWB radar signal-processing framework is presented, capable of extracting respiration and cardiac micro-motion under realistic automotive conditions, including engine-induced vibrations, multipath clutter, and non-Gaussian noise. The approach reuses existing antennas and RF chains while maintaining full IEEE802.15.4z and IEEE802.15.4ab compliance. Experimental validation using Ceva-Waves UWB platform demonstrates reliable respiration and heart-rate estimation in a production vehicle cabin and meets Euro NCAP Child Presence Detection requirements.
Index Terms
UWB radar, in-cabin sensing, vital signs monitoring, IEEE802.15.4z, IEEE802.15.4ab, source separation.
I. INTRODUCTION
Ultra-wideband (UWB) technology has been widely adopted in production vehicles to enable precise localization and secure access use cases. This large-scale deployment creates a unique architectural opportunity: UWB transceiver infrastructure originally designed for secure localization can be repurposed as a high-resolution virtual radar sensor through software-defined signal processing.
Unlike conventional automotive radar solutions that rely on dedicated mmWave hardware, UWB radar enables sensing using existing antennas and RF chains already present in modern vehicles. This approach significantly reduces system cost, power consumption, and integration complexity while enabling always-on operation even in low-power parked modes, a critical factor for automotive safety standards.
1.1 What is UWB Radar?
UWB radar refers to the use of impulse-based ultra-wideband transceivers to perform time-of-flight based sensing of human motion and micro-motion. Unlike conventional Doppler-only radar systems, UWB radar exploits fine-grained range resolution to spatially isolate specific body regions and track sub-millimeter displacements caused by respiration and cardiac activity.
In automotive systems, UWB radar can be implemented using the same hardware originally designed for secure ranging and localization, enabling sensing capabilities through software-defined signal processing without the introduction of additional sensors.
1.2 Why UWB Radar?
UWB radar offers several compelling advantages for in-cabin vital signs monitoring compared to alternative technologies:

Key advantages of UWB radar:
- Reuses existing digital key antennas and RF chains → lowest BOM and integration cost
- Excellent material penetration and robustness to body orientation
- Strong privacy protection (no image formation)
- Always-on capability even in low-power parked modes
- Naturally supports Euro NCAP Child Presence Detection (CPD) requirements
II. UWB RADAR ARCHITECTURE AND HARDWARE REUSE
The primary advantage of the proposed framework is its hardware-agnostic nature regarding the UWB transceiver. By utilizing Ceva-Waves UWB IP, the system leverages a high-performance MAC and PHY layer designed for full compliance with IEEE 802.15.4z, IEEE 802.15.4ab, FiRa 4.0, and Car Connectivity Consortium (CCC) Digital Key Release 4.0 requirements.
In radar mode, the transceiver transmits a sequence of impulse-based pulses. The reflected signals are captured and transformed into Channel Impulse Responses (CIR). Because the UWB pulse is extremely short (nanosecond scale) and operates with >500 MHz bandwidth, the system achieves sub-centimeter range resolution. This enables precise spatial isolation of different occupants or body parts, providing far greater detail than pure Doppler-based systems, especially for detecting sub-millimeter chest displacements from respiration and cardiac activity.
All experimental validation in this work was conducted using Ceva’s Waves UWB platform, confirming reliable performance under realistic automotive conditions, including engine-induced vibrations, dense multipath clutter from seats/windows/dashboard, and non-Gaussian noise from vehicle electronics.
This architecture allows the same production-grade UWB hardware — already widely deployed for secure digital key and passive entry to be repurposed as a software-defined radar sensor for in-cabin vital signs monitoring and Child Presence Detection (CPD), without any additional sensors or hardware modifications.
2.1 Key Features of Ceva-Waves UWB IP
The Ceva-Waves UWB platform is a low-power, automotive-grade IP that serves as the foundation for this framework. Its main features include:
Full support for IEEE 802.15.4ab-enhanced ranging and security, aligned with FiRa 4.0 and CCC Digital Key 4.0 standards ensuring seamless integration with existing secure vehicle access systems.
Native UWB Doppler Radar mode optimized for in-cabin Child Presence Detection (CPD) and Human Presence Detection (HPD), capable of detecting breathing micro-movements with high sensitivity (demonstrated <1 BPM resolution in related Ceva validations, exceeding Euro NCAP requirements).
Advanced coherent receiver architecture with superior Wi-Fi interference suppression and robust performance in complex multipath environments typical of vehicle cabins.
Centimeter-level Time-of-Flight (ToF) and Angle-of-Arrival (AoA) accuracy in ranging mode, extended to sub-centimeter resolution in radar mode.
Low-power design suitable for always-on operation in parked-vehicle scenarios, with hardware offloading to minimize host CPU load.
CPU-agnostic software stacks supporting FiRa MAC, CCC Digital Key MAC, and radar extensions, enabling flexible deployment across automotive SoCs.
These capabilities make Ceva-Waves UWB IP the ideal platform for dual-use applications: secure localization for digital keys and software-defined radar sensing for safety features like vital signs monitoring and CPD, all without incremental hardware cost.
III. UWB RADAR SIGNAL PROCESSING PIPELINE
The processing pipeline extracts vital sign information through several discrete stages designed to handle the non-stationary nature of the automotive environment.
A. Radar Data Extraction and Spatial Gating
The UWB radar receiver identifies the dominant reflection peak in the fast-time (range) domain, corresponding to the occupant’s chest region. As illustrated in Fig. 1, this spatial selectivity allows the system to ignore reflections from static objects. A high-pass filter is then applied along the slow-time axis to suppress static clutter, effectively isolating the rhythmic micro-motions associated with physiological signals.

Fig. 1. Temporal evolution of UWB radar signal magnitude along fast-time (range) and slow-time (Doppler) axes.
B. Rapid Body Motion (RBM) Detection
To mitigate the impact of large transient movements, the slow-time signal is segmented into overlapping windows. These windows are evaluated using a variance-based motion metric. As shown in Fig. 2, segments exceeding a nominal threshold are classified as RBM events and are temporarily excluded from the vital signs estimation to prevent spectral leakage and maintain heart-rate tracking integrity.

Fig. 2. Estimated standard deviation versus segment index for a recording containing a rapid movement event.
IV. ROBUST SOURCE SEPARATION AND TRACKING
Automotive UWB radar signals are frequently corrupted by impulsive and heavy-tailed noise. To overcome these limitations, the framework employs a measure-transformation (MT) approach based on recent research [1], [2]. By applying a non-negative transformation to the underlying data measure, the influence of high-energy outliers is attenuated while preserving the correlation structure required for reliable source separation and tracking.
Source separation is performed using MT-enhanced second-order blind identification (MT-SOBI), allowing the decomposition of the radar signal into independent components for respiration and cardiac activity. Continuous tracking is achieved via an MT-based recursive least squares (MT-RLS) algorithm, ensuring stable operation even in the presence of non-stationary interference and vehicle-induced vibrations.
To the authors’ knowledge, this represents the first application of measure-transformation-based source separation and adaptive filtering techniques to in-cabin automotive UWB radar sensing, enabling robust vital-sign monitoring under non-Gaussian noise conditions where conventional radar processing approaches typically degrade.
V. EXPERIMENTAL VALIDATION
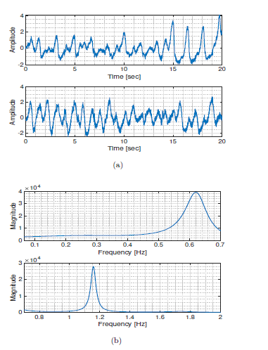
Validation was performed in a production vehicle cabin with the engine idling. The separated radar sources undergo spectral analysis via the MUSIC algorithm, resulting in the distinct peaks observed in Fig. 3. The system is tuned for:
- Respiration: 0.06–0.7 Hz (3.6–42 BPM).
- Cardiac activity: 0.75–2 Hz (45–120 BPM).
This respiration range fully encompasses the Euro NCAP Child Presence Detection (CPD) requirements (18–30 BPM), proving the system’s ability to detect shallow “sleeping newborn” breathing profiles under realistic noise conditions.

Fig. 3. (a) Time-domain extraction of respiration and cardiac sources. (b) Power spectral density (PSD) showing distinct peaks for estimation.
VI. CONCLUSION
This work demonstrates that UWB radar enables a practical convergence of localization and sensing. By leveraging software-defined signal processing on existing hardware with IEEE802.15.4z and IEEE802.15.4ab compliance, reliable in-cabin safety monitoring is achieved without dedicated sensors.
ACKNOWLEDGMENT
The author acknowledges the foundational research on MT techniques provided by S. Shem Tov, N. Amitai, K. Todros, and I. Bilik, which enabled the signal processing framework described in this work.
REFERENCES
[1] S. Shem Tov, K. Todros, and I. Bilik, “Measure-Transformed SOBI” Proc. EUSIPCO, 2025.
[2] N. Amitai, K. Todros, and I. Bilik, “Measure-Transformed Recursive Least Squares” Proc. SSP, 2025.


